
Feeding ecology of Bathychlarias nyasensis (Siluroidea: Clariidae) from Lake Malawi
In Malawi, fish contribute about 60-80% to the country's animal protein supply. The greater proportion (> 50%) comes from Lake Malawi. Bathyclarias nyasensis and other clariid catfish contribute up to > 20% of the total catches. Catches of Bathyclarias nyasensis in the inshore area of the south-east arm of Lake Malawi are declining and a management plan for the fishery is essentially lacking. There is paucity of biological data that precludes the use of any option to manage the species.
The principal aim of the thesis was to define the ecological role B. nyasensis, the most abundant and common of the Bathyclarias species. By examining life history characteristics within a food web context, it was hypothesized that the study would provide an insight into the interrelationships between species, and, hence form the basis for the development of a rational exploitation strategy for the species. The study was undertaken in the south-east arm of Lake Malawi (9° 30'S, 14° 30'S[sic]). The principal objectives of the study were to investigate the feeding ecology of B. nyasensis by examining morphological characters and structures associated with feeding, diet of B. nyasensis, food assimilated in the species using carbon (δ13C) isotope analysis, daily food consumption rate for B. nyasensis; and to relate the feeding ecology to life history traits such as age, growth, and some aspects oft4e reproductive biology of B. nyasensis.
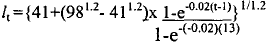
The suitability of sectioned pectoral spines and sagittal otoliths to age B. nyasensis was
assessed. Due to reabsorption of growth zones with increasing spine lumen diameter with
fish size, and the relatively low number of spines that could be aged reliably, only
otoliths were used. The maximum age for B. nyasensis was estimated at 14 vears. Growth
was best was described by the four parameter Schnute m[odel?]
for
female, and
for
male fish. Age-at-50% maturity for
females and males were estimated at 7 years and 4 years, respectively. Typically, fish
grew rapidly in the first year, but slower during subsequent years. Smaller fish were
found inshore while larger fish were found in offshore regions. It was hypothesised that
the rapid growth in the first year and slower growth later is a consequence of change in
diet from high quality and abundant food source to a more dilute food and that this may
be associated with a shift in habitat.
Morphological characters associated with feeding were used to predict the food and feeding behaviour of B. nyasensis. The size of premaxillary, vomerine, pharyngeal dental and palatine teeth and premaxillary and vomerine tooth plates suggested the capability of B. nyasensis to handle both large and small prey, with a propensity towards smaller prey in composition to C. gariepinus. The molariform teeth on the vomerine tooth plate suggested that molluscs form part of the diet. The relative gut length (1.27±0.24) suggested omnivory, with an ability to switch between planktivory and piscivory. Buccal cavity volume and filtering area changed with fish size at 500-600 mm TL upon which it was hypothesised that the fish diet changed to planktivory at this size.
Detailed diet analysis provided information upon which the above hypotheses could be accepted. Percent Index of Relative Importance (%IRI) and a multi-way contingency table analysis based on log-linear models were used to analyse diet data. Results showed that B. nyasensis is omnivorous, but with a distinct ontogenetic dietary shift from piscivory to zooplanktivory at 500 - 600 mm TL. The increased buccal cavity volume at the same fish size therefore, suggests that B. nyasensis is well adapted to filter the dilute zooplankton resource. Increased foraging costs of feeding on zooplankton explained the slower growth of larger fish. The dietary shift was finally corroborated by results of the δ13C isotope analysis. A polynomial equation described the change in carbon ratios with fish size: δ13C = - 33.188 + 0.4997L - 0.0045 (total length)2 (r2 = 0.598, n = 12, p=0.022).
The ontogenetic shift in diet was synchronised with a habitat shift postulated in life history studies. In the inshore region, B. nyasensis were predominantly piscivorous (apex predators), and were zooplanktivorous in the offshore region, thereby forming part of the pelagic food web in the latter region.
After examining "bottom-up" and trophic cascade theories, it was postulated that perturbations of the B. nyasensis stock would be discernible both at the top and lower trophic levels. As a piscivore and therefore apex predator, effects of overfishing B. nyasensis in the inshore region could cascade to unpredictable ecological changes in inshore areas and, due to the ontogenetic habitat shift, in the offshore regions. Examples of trophic cascade phenomena are provided.
On the basis of the feeding study, it was possible to reconstruct the pelagic food web of Lake Malawi. Apart from the lakefly Chaoborus edulis, B. nyasensis is the other predator that preys heavily on zooplankton in the pelagic zone. Perturbations of the B. nyasensis stock could affect size composition of zooplankton which in tum, could affect production of C. edulis, a resource for the top predators in the food web.
The findings of the present study contributed to the ongoing debate of introducing a zooplanktivore into the pelagic zone of Lake Malawi. Proponents for the introductions have argued that zooplankton predation by fish is inferior to that of C. edulis. Introduction of a clupeid zooplankton was proposed as a strategy to boost fish production in the lake. The zooplanktivore would either out-compete or prey on C. edulis to extinction. Opponents to this view argued that zooplankton biomass in the pelagic region was too low to support introductions and that the fish biomass in the pelagic region may have been underestimated. Results from the present study suggest that planktivorous fish (including B. nyasensis) might not be inferior to C. edulis in utilising the zooplankton resource; B. nyasensis is well adapted to utilise the dilute zooplankton resource, and by omitting B. nyasensis from previous studies, overall zooplankton predation by fish may have been underestimated by between 7 - 33%.
On the basis of the theoretical migratory life history cycle of B. nyasensis, it is
recommended that the current interest in increasing fishing effort in offshore areas should
proceed with caution. Ecological changes that may have occurred in the inshore areas due
to overfishing have probably not been noticed, as the offshore zone has never been
fished. The latter zone may have acted as a stock refuge area. Higher fishing intensity in
the offshore areas could lead to serious ecological imbalances and instability. The study
has shown that life history characteristics studied in the context of the food web, and in
the absence of other fisheries information and/or data, strongly advocates the
precautionary principle to managing changes in exploitation patterns.